Что будем рисовать
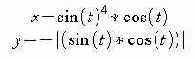
Конечно, можно было нарисовать простую пирамиду или же куб. Но мы сделаем большее - нарисуем "признание в любви"** (рис.1). Специально для этого методом "научного перебора" была разработана модель, описывающая соответствующую кривую:

Остается только перевести ее с языка математики на нормальный человеческий.